校园生活

校园生活

广东省重点技工学校
您的位置:首页 - 校园生活 - 智慧校园
返回上级

在这里,总有一个舞台适合你!

时间:2022-08-17 来源:本站作者:宝山技工

  大家是不是都在好奇

  课余时间,宝山的学子们都在做什么?

  接下来,就让小编带着大家来看看

  宝山的校园活动丰富多彩

  绝对让你眼花缭乱

  

图片


  

图片


  开学八课

  

图片


  开学典礼

  

图片


  

图片


  校长课堂-天生我才必有用

  

图片


  ▲开学第一课-劳动创造幸福

  

图片


  红色教育主题活动

  学习雷锋活动

  

图片


  

图片


  

图片


  学雷锋,爱我校园学校党员干部带领团员学生为校园新面貌贡献一份力量

  

图片


  “建团百年”主题活动

  

图片


  中国共产主义青年团100周年纪念日

  我们一起传承民族精神

  发扬青春风采

  谱写青春华章

  展示时代风采

  

图片


  

图片


  

图片


  ▲新团员入团仪式

  

图片


  

图片


  

图片


  

图片


  

图片


  ▲观看建团百年纪录片

  

图片


  ▲参观东江纵队纪念馆

  

图片


  

图片


  

图片


  

图片


  ▲学生手抄报作品(部分)

  

图片


  我和国旗合个影

  

图片


  

图片


  

图片


  

图片


  

图片


  

图片


  建团百年主题书法大赛作品

  

图片


  端端正正练硬笔书法

  弘扬民族文化精神

  演绎书法神奇魅力

  

图片


  

图片


  

图片


  

图片


  ▲学生书法作品(部分)

  

图片


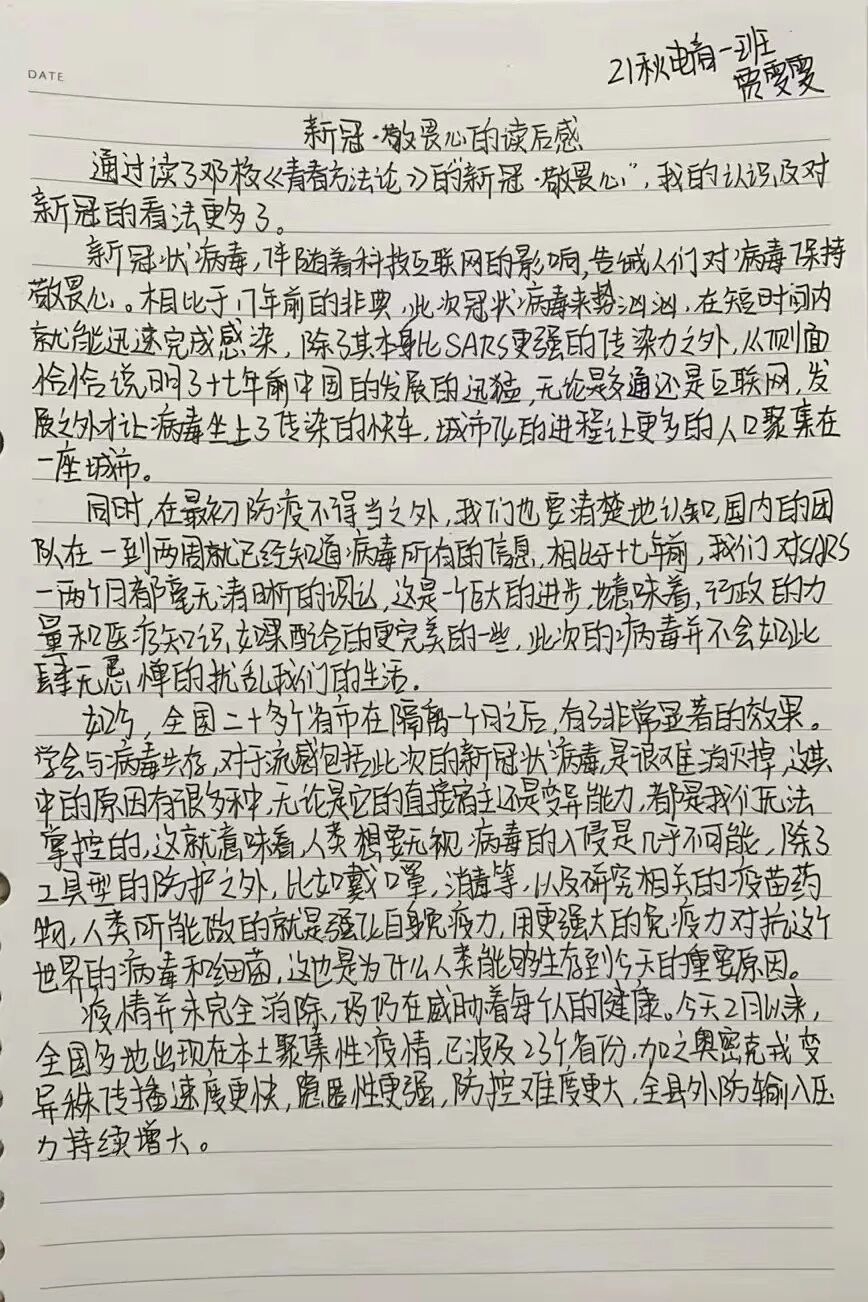
  《青春方法论》读后感

  

图片


  青春时节,年华尚好

  除了成长给予的惊喜之外

  还有梦想给予的人生启示

  读《青春方法论》

  找到人生路上的指明灯

  在逐梦的途中

  我们得到了鼓励与支持

  收获了珍惜与包容

  

图片


  

图片


  

图片


  

图片


  ▲学生读后感(部分)

  

图片


  法治教育、禁毒教育活动

  

图片


  法治教育主题活动

  

图片


  

图片


  

图片


  

图片


  

图片


  普及基本的法律知识,为同学们的校园生活保驾护航

  ▲法治教育讲座进校园

  

图片


  禁毒教育主题活动

  

图片


  

图片


  

图片


  

图片


  为同学们普及毒品知识

  

图片


  校园紧急疏散安全演练

  做好应急演练工作

  认真对待每一次紧急疏散演练

  保障同学们的生命财产安全

  

图片


  认真对待疏散演习,只为保障同学们的生命安全

  

图片


  同学们跑得快一步,安全离我们就进一步

  

图片


  

图片


  

图片


  ▲学习消防安全知识

  

图片


  书香校园系列活动

  

图片


  

图片


  宝山大讲堂系列活动

  

图片


  

图片


  

图片


  

图片


  ▲读书分享会

  

图片


  

图片


  

图片


  

图片


  硬笔书法大赛

  

图片


  

图片


  

图片


  认真书写的同学们WORK HARD

  

图片


  

图片


  

图片


  

图片


  趣味运动会

  

图片


  

图片


  

图片


  ▲运动会开幕

  

图片


  

图片


  

图片


  ▲巨型颠球、九宫格等趣味游戏

  

图片


  体育赛事

  

图片


  班级篮球比赛

  

图片


  

图片


  

图片


  乒乓球比赛

  

图片


  

图片


  

图片


  拔河比赛

  

图片


  

图片


  

图片


  校园十佳歌手比赛

  我们的歌声

  唱出我们的心声用最淳朴的歌声

  表达我们的青春风采

  

图片


  学生倾情演唱

  

图片


  

图片


  军训活动

  我们团结一致

  不畏艰苦、勇敢向前

  作为新时代的青少年学生

  我们牢记使命,百炼成钢

  不畏骄阳、不畏风雨

  

图片


  

图片


  

图片


  ▲正在军训的同学们身姿矫健

  

图片


  

图片


  

图片


  流过的汗水是这个暑假最美的回忆

  

图片


  班歌大合唱比赛

  歌声跃动宝山

  梦想绽放校园

  我们唱出最响亮的声音

  我们为自己而唱

  

图片


  

图片


  

图片


  我们的歌声

  就是最好的青春时光

  

图片


  班级风采大赛

  锅锅碗瓢碗一起上

  拿起勺子做甜品

  速度与激情的碰撞

  让我们为你展示独具专业特色的班级文化

  

图片


  

图片


  

图片


  

图片


  多彩社团活动

  莘莘学子展翅膀

  宝山社团梦飞扬

  加入宝山社团

  发现自我的闪光点

  用我们的青春做出最美丽的诠释

  

图片


  

图片


  

图片


  

图片


  ▲吉他社、跆拳道社、滑板社等社团活动

  

图片


  户外拓展活动

  青春激扬高技班的同学们,不怕苦不怕累

  挑战自己,跨步向前

  一起来,更精彩

  

图片


  优秀团队齐合作

  

图片


  

图片


  齐心协力保任务

  

图片


  

图片


  三自教育活动

  自我管理,自我教育,自我服务

  培养学生良好的礼仪意识,纪律意识

  劳动观念和团队精神

  帮助学生学会自我约束

  提高学生的综合素质和实践能力

  

图片


  

图片


  尽心尽责的同学

  

图片


  

图片


  

图片


  

图片


  

图片


  身体力行

  就是最好的青春时光

  

图片


  技能文化节

  一年一度的技能文化节

  各专业纷纷开展技能竞赛

  以赛促学、以赛促教

  同学们尽情展示自己的专业技能

  学技术、练本领,争第一

  

图片


  汽车系

  专业竞赛

  

图片


  

图片


  

图片


  

图片


  

图片


  先进制造系专业技能竞赛

  

图片


  

图片


  

图片


  ▲3D打字

  

图片


  

图片


  

图片


  创业集市

  

图片


  

图片


  

图片


  

图片


  

图片


  

图片


  

图片


  

图片


  

图片


  

图片


  

图片


  

图片


  

图片


  

图片


  

图片


  

图片


  

图片


  

图片


  

图片


  ▲网络搭建现场展示

  

图片


  

图片


  

图片


  

图片


  我们制作的美食足以让你停下脚步

  

图片


  ▲烹饪作品展

  

图片


  校园演说家比赛

  一个舞台,一支话筒

  诉说一段情感,品悟一段旅程

  这个世界从来不缺少声音

  不做思想的哑巴,让思想发声

  校园演说家比赛选手们风采非凡

  用声音传递他们的信念与梦想

  

图片


  

图片


  

图片


  

图片


  

图片


  

图片


  

图片


  

图片


  ▲参赛选手们激情演讲

  

图片


  

图片


  感恩主题教育活动

  在爱的海洋里,我健康成长

  在您的养育教导下,我健康成长

  我们有很多心里话想对您说...

  

图片


  

图片


  

图片


  

图片


  毕业汇演

  有一种美好叫表达

  有一种成长叫毕业

  在宝山的精彩岁月里

  我们留下了欢声笑语

  现在

  让我们用一场晚会

  告别我们的母校

  

图片


  

图片


  一场晚会,我们这样告别母校

  

图片


  

图片


  

图片


  

图片


  

图片


  ▲幼师专业学生的精彩表演

  

图片


  元旦晚会

  精致的舞台,载歌载舞

  悠扬的旋律,不绝于耳

  歌声动人,舞姿绚烂

  奋斗在宝山

  起航新征程

  同学们以昂扬饱满的热情

  在元旦晚会上用歌声和舞蹈

  迎接新的一年

  

图片


  00:00:00:00

  

图片


  

图片


  

图片


  

图片


  

图片


  ▲奖学金、助学金颁发仪式

  宝山的校园活动十分丰富精彩

  宝山大讲堂、书香校园

  户外拓展、主题讲座

  趣味运功会、体育赛事

  班歌合唱比赛、社团活动

  技能文化节、元旦晚会

  还有更多精彩绝伦的校园活动等着你来打卡